+
Academia.eduAcademia.edu

Ionicity of Ionic Liquids

description11 papers
group0 followers
lightbulbAbout this topic
Ionicity of ionic liquids refers to the degree to which these substances exhibit ionic character in their structure and behavior, characterized by the presence of dissociated ions in the liquid state. This property influences their physical and chemical characteristics, including conductivity, solubility, and thermal stability.
lightbulbAbout this topic
Ionicity of ionic liquids refers to the degree to which these substances exhibit ionic character in their structure and behavior, characterized by the presence of dissociated ions in the liquid state. This property influences their physical and chemical characteristics, including conductivity, solubility, and thermal stability.

Key research themes

1. How do molecular interactions and microstructural heterogeneities determine the ionicity and dynamical behavior of ionic liquids?

This research theme investigates the fundamental molecular-scale origins of ionicity in ionic liquids (ILs) by analyzing the nature of interionic interactions (such as Coulombic forces, van der Waals forces, hydrogen bonding), and the resulting heterogeneous microstructures and dynamics. Understanding these aspects is crucial because ionicity profoundly influences transport properties, conductivity, viscosity, and application performance of ILs. The interplay between strong electrostatic and weaker directional forces shapes the liquid morphology, impacting ion pairing, aggregation, and ionic mobility.

Key finding: This comprehensive review elucidates the crucial role of the delicate balance between strong Coulombic and weaker isotropic van der Waals and hydrogen bonding interactions in establishing complex hierarchical microstructures... Read more
Key finding: This study quantitatively differentiates the ionic and organic characteristics of ILs at the molecular level, revealing that the depth of the ion cage energy landscape governs ionic nature, while the slope and curvature near... Read more
Key finding: Using combined high-field and low-field NMR relaxation spectroscopy and molecular dynamics simulations, this paper quantitatively differentiates between correlated and non-correlated ionic motions in ILs. It reveals that ion... Read more
Key finding: This critical review revisits the debated existence of ion pairs and free volume concepts in ILs by integrating transport property data (viscosity, diffusion, conductivity) with molecular level NMR analyses. It highlights the... Read more

2. What is the effect of molecular solvents, water, and cosolvents on the ionicity and interionic interactions in ionic liquid mixtures?

This theme addresses how varying the composition of IL mixtures with molecular solvents such as water, alcohols, or organic co-solvents perturbs the ionicity and ion-ion interactions in IL systems. Understanding solvent effects is critical because water and molecular solutes affect the equilibrium ion pairing, hydrogen bonding networks, microstructure, dynamics, and therefore the macroscopic properties like viscosity, conductivity, and CO2 capture ability. Elucidating solvent-dependent modulations enables optimized design for specific applications like separations and electrochemistry.

Key finding: This comprehensive review consolidates experimental and theoretical studies showing that even small amounts of water significantly alter IL structure and dynamics, modulating ionicity through disruption of hydrogen bonding... Read more
Key finding: Employing Kirkwood-Buff theory on thermodynamic data, this study quantitatively demonstrates differing water-ion and ion-ion interaction strengths in protic and aprotic IL-water mixtures across concentrations. It finds that... Read more
Key finding: This experimental study systematically measures viscosities and conductivities across full composition ranges of imidazolium ILs mixed with molecular solvents. It correlates observed nonlinear viscosity and transport behavior... Read more

3. How can predictive modeling improve understanding and prediction of ionic liquid physicochemical properties related to ionicity, such as density and viscosity?

This theme focuses on developing and applying quantitative models and computational approaches to predict IL macroscopic physical properties that directly link to ionic organization and ionicity. Accurate modeling of density, viscosity, and related transport properties enables systematic tuning of ILs for applications without the need for exhaustive empirical measurements. It encompasses group contribution methods, quantitative structure-property relationships (QSPR), computational chemistry (COSMO-RS), and machine learning techniques.

Key finding: This work presents a new group contribution model incorporating temperature, pressure, and 47 ionic substructures to predict density for a data bank of 747 ILs with 918 data points. It uses an outlier analysis to improve... Read more
Key finding: Using a stepwise multilinear approach correlating COSMO-RS-derived cation-anion interaction energies with experimental viscosity data, the authors developed a quantitative structure-property relationship model accurately... Read more

All papers in Ionicity of Ionic Liquids

The reorientational dynamics of charge-neutral ion couples [C4mim]⋯[PF6], [C4mim]+ and surprisingly, also [PF6]− ions, are in the nanosecond (ns) time regime. The NMRD profile analysis reveals detailed information about ionicity and free... more
The reorientational dynamics of charge-neutral ion couples [C4mim]⋯[PF6], [C4mim]+ and surprisingly, also [PF6]− ions, are in the nanosecond (ns) time regime. The NMRD profile analysis reveals detailed information about ionicity and free... more
"The interest in ionic liquids (ILs) as replacements for more hazardous solvents has been growing over the last years, especially in industrial synthesis and liquid-liquid separations. Consequently, it is important to study their degree... more
"Ionic liquids (ILs) have been deeply investigated as possible substitutes for hazardous organic solvents, but their recently acknowledged ionicity, together with their generally high viscosity, has been hampering their further... more
"Ionic liquids (ILs) are ionic compounds which are liquid at room temperature and pressure, and can be applied in many fields, such as industrial synthesis, catalysis, electrochemistry, and liquid-liquid separations. To enhance the... more
The reorientational dynamics of charge-neutral ion couples [C4mim]⋯[PF6], [C4mim]+ and surprisingly, also [PF6]− ions, are in the nanosecond (ns) time regime. The NMRD profile analysis reveals detailed information about ionicity and free... more
The reorientational dynamics of charge-neutral ion couples [C4mim]⋯[PF6], [C4mim]+ and surprisingly, also [PF6]− ions, are in the nanosecond (ns) time regime. The NMRD profile analysis reveals detailed information about ionicity and free... more
In this paper, we have investigated the electronic properties of rare earth mono-pnictides in rock-salt structured using the plasma oscillations theory of solids. We have presented the expressions relating the homopolar gap (Eh), ionic... more
We report temperature dependent 1 H NMR relaxation measurements of the powder thiourea-hexachloroethane inclusion compound, [2.95(NH 2) 2 CS]´C 2 Cl 6 , at different resonance frequencies, from 23 to 55.5 MHz. Signi®cant reduction of... more
The out-of-plane motion of the pyridinium cation in the bis-thiourea pyridinium chloride inclusion compound has been studied in a wide temperature range using 1 H NMR, dielectric spectroscopy and quasielastic neutron scattering. The... more
The reorientational dynamics of charge-neutral ion couples [C4mim]⋯[PF6], [C4mim]+ and surprisingly, also [PF6]− ions, are in the nanosecond (ns) time regime. The NMRD profile analysis reveals detailed information about ionicity and free... more
The reorientational dynamics of charge-neutral ion couples [C4mim]⋯[PF6], [C4mim]+ and surprisingly, also [PF6]− ions, are in the nanosecond (ns) time regime. The NMRD profile analysis reveals detailed information about ionicity and free... more
The ionic nature of a functionalized protic ionic liquid cannot be rationalized simply through the differences in aqueous proton dissociation constants between the acid precursor and the conjugate acid of the base precursor. The extent of... more
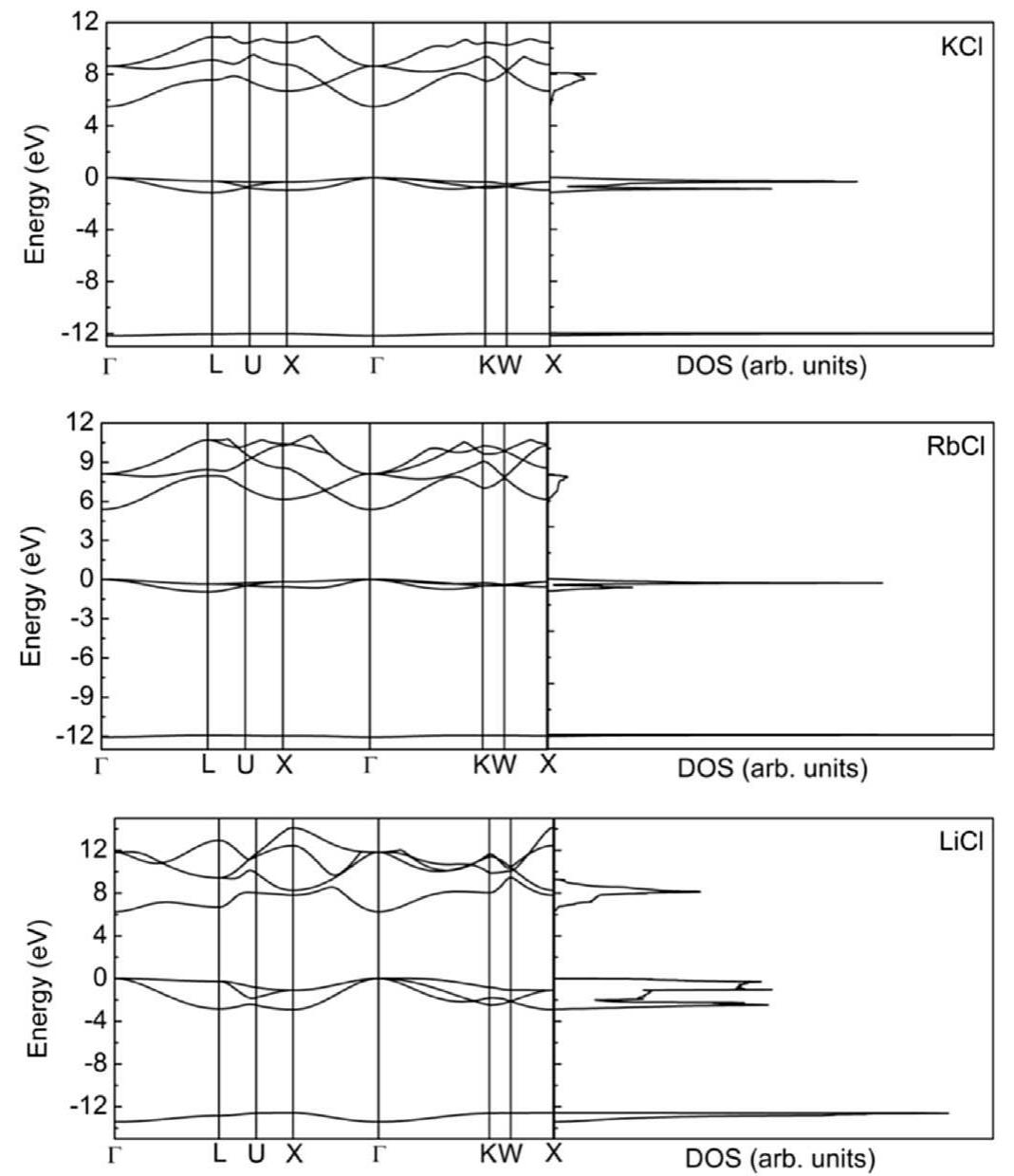
Structural properties, electronic band structure, real and imaginary parts of complex dielectric function of alkali chloride XCl (K, Rb and Li) compounds were investigated under various pressures using first principles calculations.... more
We have conducted 75 As and 69 Ga Nuclear Magnetic Resonance (NMR) experiments to investigate order/disorder in Al x Ga 1Àx As lift-off films with x B 0.297 and 0.489. We were able to identify all possible As(Al n Ga 4Àn ) sites with n =... more
Newly synthesised halogen-free boron based ionic liquids (hf-BILs) composed of chelated orthoborate anions and phosphonium cations have hydrolytic stability, low melting point and outstanding wear and friction reducing properties. We... more
We have conducted 75 As and 69 Ga Nuclear Magnetic Resonance (NMR) experiments to investigate order/disorder in Al x Ga 1Àx As lift-off films with x B 0.297 and 0.489. We were able to identify all possible As(Al n Ga 4Àn ) sites with n =... more
An interaction potential including chloride anion polarization effects, constructed from first-principles calculations, is used to examine the structure and transport properties of a series of chloroaluminate melts. A particular emphasis... more
A~~ analysis 6f the phot~I~tic effect in ionic crystafs has been presented withm the framework of Ciau~u~Mo~ot~ theory of the dieMric constant. The values of the strain derivative of the eIectronic dielectric constant have been calculated... more
Based on the well-known Phillips —Van Vechten and Penn-type models, we present here an analysis of the effective charges and ionicity in alkali halides. This analysis is made in the light of the recently reported experimental results of... more
Knowledge of ionicity is requisite for successful identification of those salt qualities required to design and couple the most appropriate fluid for performance of an intended chemical function. We report on utilisation of 35 Cl À... more
While liquid electrolyte salts, comprised predominantly of ions and ion pairs, were studied already in the early half of the 1800s (see for example papers by Faraday [1] or Hittorf ), modern advancements of ionic materials have given rise... more
Crystalline solids, co-existing in equilibrium with the 3methyl-1H-imidazolium bromohydrogenates(I) ionic liquid, have been characterised by X-ray diffraction analysis. The Brønsted acidic, homo-conjugate [H 2 Br 3 ]anions presented are... more
Download research papers for free!
点击 这是indexloc提供的php浏览器服务,不要输入任何密码和下载