The ab-initio framework has taken place by means of the Full-potential Linear Augmented Plane-Wav... more The ab-initio framework has taken place by means of the Full-potential Linear Augmented Plane-Wave (FP-LAPW) method, using the modified Becke-Johnson exchange potential approximation. This modified method was carried out to study the effects of doping iron ions on the structural, electronic, magnetic, and optical properties of CoScO3 perovskite compound. Doping Fe ions have formed a nonstoichiometric perovskite Co1-xFexScO3 where x=0, 0.25, 0.50, 0.75, and 1. all doped compounds crystallized in a tetragonal lattice due to the Jahn-Teller effect, while the lattice constant was calculated and found to vary between the value of the two pure compounds. Meanwhile, the stabilities of the studied compounds are shown in the negative values of the formation energy. The magnetic moment was calculated and the whole compounds showed a ferromagnetic behavior. Co1-xFexScO3 perovskite is a potential candidate for spintronic application due to the presence of the half metallic behavior. All optical...
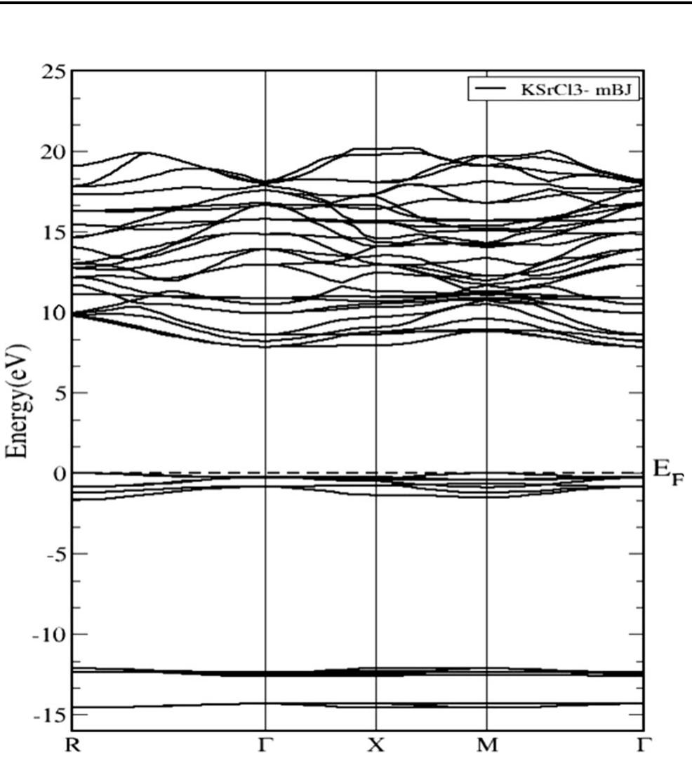
The optical and electronic density of states (DOS) and elastic and structural properties of cryst... more The optical and electronic density of states (DOS) and elastic and structural properties of crystalline perovskites KSrX 3 (X = Cl and F) are examined using the full potential linearized augmented plane wave (FP-LAPW) technique in the context of the Perdew, Burke and Ernzerhof's (PBE) generalized gradient approximation (GGA), the local density approximation (LDA) and the modified Becke-Johnson exchange potential (mBJ-GGA), while the structural properties of the KSrX3 are calculated using LDA, GGA and Wu-Cohen (WC) functionals. Our findings are that the KSrF 3 compound has a direct energy band gap (E g) at (C-C) with 5.54 eV, 5.42 eV, and 10.35 eV using PBE-GGA, LDA and mBJ-GGA approximations, respectively. The KSrCl 3 compound also has an indirect energy band gap (M-C) with 4.45 eV, 4.3 eV, and 7.88 eV, as discovered using PBE-GGA, LDA and mBJ-GGA approximations, respectively. The coefficient of extinction, index of refraction, dielectric function and the fountains of apex of the optical spectra are examined with regard to the computed electronic structure.
Uploads
Papers by Dr Mohd